Integrace per partes

#veta Per partes

Nechť

potom existuje primitivní funkce k funkci a platí

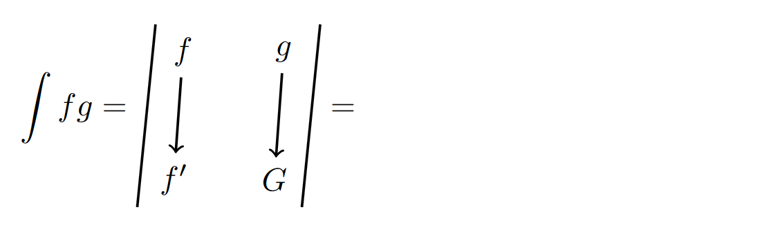
  • Tedy máme součin funkcí a snažíme se spočítat neurčitý integrál

  • Vezmeme integrál, kde je součin. Jednu funkci zintegrujeme (), druhou funkci zderivujeme ()

  • Vzoreček nám nedává přímo konečný výsledek, protože na pravé straně je další integrál - ale pomůže nám výpočet zjednodušit

  • Nemusíme psát konstantu , schová se do dalšího integrálu

  • Pointa per partes: Mám integrál a převedu ho na jiný, který by měl být jednodušší. U polynomů ideálně snížit stupeň.

  • Pokud nám při per partes "zjednodušený" integrál vyjde stejně jako "původní" (ale není před ním kladné "1 krát"), lze využít rovnici o jedné neznámé

ěč

Výpočet

Používáme následující notaci:

../Attachments/Pasted image 20241004171027.png
../Attachments/Pasted image 20241004171041.png
../Attachments/Pasted image 20241004171054.png

Příklad

../Attachments/Pasted image 20241004171644.png


Vytvořeno: 4. 10. 2024, 16:48
Poslední aktualizace: 26. 10. 2025, 21:02